Complex Disordered Systems

Active Matter

Francesco Turci

Today

  • Beyond thermal equilibrium
  • Run-and-tumble dynamics
  • Active Brownian particles
  • Motility-induced phase separation (MIPS)

Beyond Thermal Systems

Equilibrium systems systems:

  • Free energy is optimised (subject to constraints):
  • Distribution of states given by Boltzmann statistics: P(\text{state}) \propto e^{-E(\text{state})/k_BT}

Arrested systems

  • Supercooled liquids: local equilibrium (thermal)
  • Glasses/gels: slow relaxation (towards equilibrium)

Active matter: Nonequilibrium via local dissipation

  • Local energy consumption
  • Self-propulsion
  • Dissipation at microscopic scale

Examples:

  • Bacteria
  • Synthetic microswimmers
  • Molecular motors
  • Bird flocks, fish schools

In a active systems, the distribution of states is not given by Boltzmann statistics!

Examples of Active Matter

Some examples Active matter examples, from Vole et al. npj Microgravity (2022)

Flocking as a minimal model

Flocking as a minimal model

The Vicsek model (1995) was one of the simplest models of active matter. Key ingredients: alignment + self propulsion

  • N particles with positions \mathbf{r}_i and orientations \theta_i

  • Update rules: \mathbf{r}_i(t+1) = \mathbf{r}_i(t) + v_0 \hat{\mathbf{n}}_i(t) \theta_i(t+1) = \langle \theta_j \rangle_{|\mathbf{r}_j - \mathbf{r}_i| < R} + \eta_i

  • v_0: constant speed

  • R: interaction radius

  • \eta_i: noise term (uniform random in [-\pi/2, \pi/2])

Flocking as a minimal model

Vicsek simulation

Run-and-Tumble Motion

Further inspirations from the microbial world, where dissipation can be more directly observed (and even tuned).

Inspired by bacterial motion (E. coli)

Two phases:

  • Run: Straight-line motion at constant speed v_0
  • Tumble: Random reorientation

Key parameter: Tumble rate \lambda

Run-and-Tumble: Dynamics

Figure 1: Non-interacting run and tumble particles.

Run-and-Tumble dynamics

Run phase (constant velocity): \mathbf{r}(t + \Delta t) = \mathbf{r}(t) + v_0 \hat{\mathbf{n}}(t) \Delta t

Tumble phase (random reorientation):

  • With probability \lambda \Delta t: randomize \hat{\mathbf{n}}
  • Otherwise: continue running

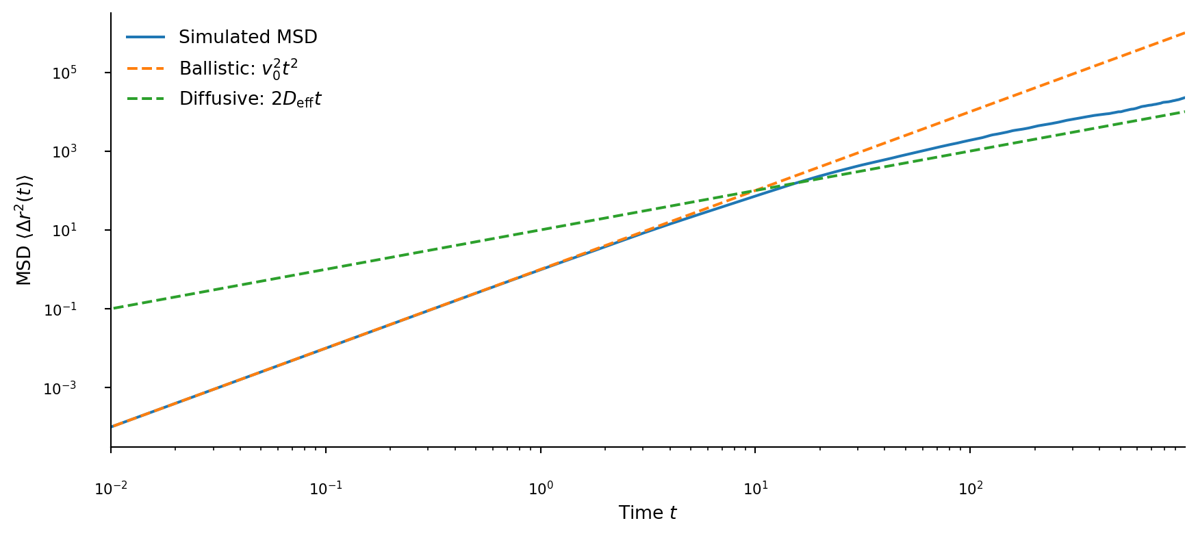
Mean Squared Displacement

Two regimes

  1. Ballistic (short times): \langle \Delta r^2(t) \rangle \sim v_0^2 t^2

  2. Diffusive (long times, t \gg 1/\lambda): \langle \Delta r^2(t) \rangle \sim 2 D_{\text{eff}} t

    • Effective diffusion: D_{\text{eff}} = \frac{v_0^2}{2\lambda} (2D)

Crossover time: t_c \sim 1/\lambda

Active Brownian Particles (ABPs)

Minimal model for self-propelled colloids (e.g., Janus particles)

Dynamics:

  • Translational motion \frac{d\mathbf{r}}{dt} = v_0 \hat{\mathbf{n}}(t) + \sqrt{2D_t} \boldsymbol{\xi}(t)

  • Rotational motion \frac{d\theta}{dt} = \sqrt{2D_r} \eta(t)

  • v_0: self-propulsion speed
  • D_t: translational diffusion
  • D_r: rotational diffusion
  • Continuous reorientation

Péclet Number: Pe = \frac{v_0}{\sqrt{D_t D_r}} = \frac{v_0}{D_r L}

  • Measures activity strength vs thermal motion
  • Pe \ll 1: thermal equilibrium limit
  • Pe \gg 1: strong activity, far from equilibrium
  • L = \sqrt{D_t/D_r}: characteristic length scale

ABP: Mean Squared Displacement

Three regimes:

\langle \Delta r^2(\tau) \rangle = \left[4 D_T + 2 v^2 \tau_R \right] \tau + 2 v^2 \tau_R^2 \left( e^{-\tau / \tau_R} - 1 \right)

  1. Short times: Diffusive \sim 4D_T\tau
  2. Intermediate: Ballistic \sim v_0^2\tau^2
  3. Long times: Enhanced diffusion
  • \tau_R = 1/D_r: persistence time
  • D_{\mathrm{eff}} = \frac{v_0^2}{2D_r}: effective diffusion

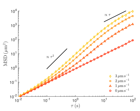
Mean squared displacement for ABPs at different self-propulsion speeds.

Effective Interactions

The persistence of active motion can lead to effective interactions between particles.

  • Head-to-head collisions lead to a persistence time of contact between two particles

  • This can be seen as an effective attraction between particles

Effective twobody potential for ABPs, Turci & wilding PRl 2021

(The realiity is more complex, with many-body effects!)

Motility-Induced Phase Separation (MIPS)

Interacting ABPs → nonequilibrium self-organization

MIPS in 3D ABPs from Turci and Wilding Physical Review Letters 2021

Key idea: Purely repulsive particles (hard spheres) + ABP dynamics

MIPS Mechanism

Equilibrium (no self-propulsion):

  • Hard spheres
  • No liquid-gas separation

Active (with self-propulsion):

  • Head-to-head collisions
  • Finite residence time
  • Many-body caging
  • Density heterogeneities

As D_r decreases:

  • More persistent motion
  • System more out-of-equilibrium
  • Enhanced density fluctuations
  • Spontaneous phase separation

MIPS: Critical-like Behavior

Phase diagram features:

  • Low D_r: Dense + dilute phases (like liquid-gas)
  • Critical point: Enhanced fluctuations
  • MIPS exists both in 2d and 3D:
    • in 2D, disk ordering at high densities
    • in 3D, MIPS is metastable to gas-crystal, like colloid polymer mixtures.
  • Short-range effective interactions between active particles

Result: Nonequilibrium phase transition in purely repulsive system!

Experimental realisation of active matter

In experiments, active systems can be realised in various ways:

  • Bacterial suspensions: e.g., E. coli, B. subtilis
  • Synthetic microswimmers: Janus particles with catalytic coatings
  • Light-activated colloids: Particles that change motility under light
  • Vibrated granular matter: Macroscopic particles on vibrating plates
  • Nano- and micro-robots: Swarms of tiny robots with programmed motion

Experimental systems and active. matter behaviours